La tecnología fotométrica es una de las más utilizadas para el análisis de la calidad del agua y de aguas residuales, debido a su precisión, rapidez y facilidad de uso en laboratorio o en terreno. A continuación, se detalla cómo funciona, qué mide y por qué es tan importante en el control ambiental e industrial.
Principio de la tecnología fotométrica
La fotometría se basa en la medición de la fracción de la luz absorbida por una solución coloreada.
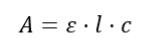
Cuando una sustancia reacciona químicamente con un reactivo para formar un compuesto coloreado, la intensidad del color de la solución formada es proporcional a la concentración de la sustancia según la ley de Beer-Lambert:

Donde:
- A = Absorbancia
- ε = Coeficiente de absorción molar de la sustancia a medir en la solución.
- l = Longitud de paso óptico (ancho de la celda de medición).
- c = Concentración de la sustancia.
En un fotómetro se mide la absorbancia a una longitud de onda específica, y mediante una curva de calibración que relaciona la proporcionalidad entre absorbancia y concentración, el instrumento calcula la concentración en mg/L, ppm, ó µg/L.
Componentes básicos de un fotómetro
Un equipo fotométrico, como el Nanocolor Advance o el PF-12 Plus, se compone de:
1. Fuente de luz: LED o lámpara halógena, que emite luz blanca o monocromática.
2. Monocromador o filtro, que permite seleccionar una longitud de onda específica dentro del espectro de luz visible.
3. Cubeta o vial de muestra, donde se coloca la solución coloreada.
4. Detector, para medir la cantidad de luz transmitida a través de la muestra.
5. Sistema electrónico y software, para interpretar la señal y determinar la concentración de la sustancia
En la evaluación de la calidad de aguas residuales, se analizan parámetros fisicoquímicos claves que permiten determinar el nivel de contaminación y la eficiencia de los tratamientos aplicados. Estos parámetros incluyen, entre otros:
- DQO (Demanda Química de Oxígeno)
- DBO₅ (Demanda Bioquímica de Oxígeno)
- Nitrógeno total y amoniacal
- Fósforo total
- Sólidos suspendidos totales (SST)
- Turbidez
- Color
- pH
- Conductividad
- Etc.


Los fotómetros Nanocolor Advance y PF-12 Plus de Macherey Nagel, permiten cuantificar la mayoría de estos parámetros mediante métodos fotométricos estandarizados, con alta precisión y repetibilidad. En la tabla siguiente se muestran detalles de algunos parámetros posibles de controlar con fotómetros de Macherey Nagel:



En Chile las aguas residuales tienen exigencias normativas, dependiendo de cual sea su lugar de descarga después de su tratamiento
NORMAS CHILENAS SOBRE AGUAS RESIDUALES
En Chile, el marco normativo para aguas residuales depende del destino de la descarga o del uso previsto del agua tratada.
A continuación, se detalla las principales normas Chilenas, y los parámetros más relevantes para el control de efluentes industriales.
1. Decreto Supremo N° 90/2000 — MINSEGPRES
“Norma para la regulación de contaminantes asociados a las descargas de residuos líquidos a aguas marinas y continentales superficiales.”
Aplica a: Todas las descargas de aguas residuales (domésticas o industriales) a cuerpos de agua superficiales: ríos, lagos, esteros, canales, embalses y mar.
Parámetros principales:
- Fisicoquímicos: Temperatura, pH, Sólidos suspendidos totales (SST), DBO₅, DQO, aceites y grasas, fósforo total, nitrógeno total, sulfatos, cloruros, fenoles, cianuros, etc.
- Metales pesados: Arsénico, Cobre, Cromo, Níquel, Zinc, Plomo, Mercurio, Cadmio, Hierro, Manganeso.
- Microbiológicos: Coliformes fecales (para ciertos cuerpos receptores).
- Otros: Sulfuros, sólidos sedimentables, temperatura máxima.
2. Decreto Supremo N° 609/1998 — Ministerio de Obras Públicas (MOP)
“Norma de emisión de residuos industriales líquidos a sistemas de alcantarillado.”
Aplica a: Descargas de residuos industriales líquidos (RILES) a sistemas públicos de alcantarillado (es decir, hacia plantas de tratamiento urbanas de empresas sanitarias).
Parámetros principales:
- pH
- Temperatura
- DBO₅
- DQO
- Sólidos suspendidos totales
- Aceites y grasas
- Metales pesados (Cu, Zn, Ni, Cr, Pb, Cd, Hg, Fe, Mn, entre otros)
- Fenoles, cianuros, sulfuros, SAAM
- Sólidos sedimentables y caudal máximo
3. Decreto Supremo N° 46/2002 — MINSEGPRES
“Norma para la regulación de contaminantes asociados a las descargas de residuos líquidos a aguas subterráneas.”
Aplica a: Descargas de aguas residuales tratadas mediante infiltración controlada o pozos de absorción que lleguen al subsuelo o acuíferos.
Parámetros regulados:
- DBO₅
- SST
- pH
- Conductividad
- Nitrógeno total
- Fósforo total
- Metales (según tipo de efluente)
- Sólidos sedimentables, coliformes fecales (en algunos casos)
4. Decreto Supremo N° 90/2000 + D.S. N° 231/2009 + Resoluciones específicas
Reutilización de aguas residuales tratadas para riego o uso industrial.
Aplica a: Proyectos que buscan reutilizar aguas residuales tratadas para riego agrícola, forestal o uso industrial (por ejemplo, limpieza, torres de enfriamiento, lavado de pisos).
Parámetros relevantes:
- DBO₅
- Sólidos suspendidos totales
- Coliformes fecales
- Nitrógeno total
- Fósforo total
- Conductividad y salinidad
- Metales pesados (según tipo de cultivo o uso)
5. Decreto Supremo N° 148/2003 — Ministerio de Salud
“Reglamento sanitario sobre manejo de residuos peligrosos.”
Aplica a: Residuos generados durante el tratamiento de aguas residuales (por ejemplo, lodos con metales o reactivos peligrosos).
En la tabla de la página siguiente se indican aquellos análisis indicados en las normas chilenas, que se pueden realizar mediante fotómetros NANOCOLOR Advance y PF-12 Plus de Macherey Nagel.
Kit NANOCOLOR para análisis de Nitrato y DBO5 por vía fotométrica.


El empleo de los fotómetros Nanocolor Advance y PF-12 Plus de la marca Macherey-Nagel es una alternativa eficiente y confiable para la determinación de parámetros fisicoquímicos en el análisis de aguas potables, residuales e industriales. Ambos instrumentos operan bajo tecnología fotométrica, que permite medir la absorbancia de soluciones coloreadas generadas a partir de reacciones químicas específicas, garantizando resultados precisos, reproducibles y de rápidos.
El Nanocolor Advance, por su diseño moderno, interfaz intuitiva y conectividad avanzada, facilita la gestión de datos, el almacenamiento digital de resultados y la trazabilidad de las mediciones, asegurando la calidad analítica y el cumplimiento de normas ambientales actuales. Por su parte, el PF-12 Plus ofrece una solución portátil y robusta con un alto nivel de exactitud en condiciones de campo, y con ello realizar un monitoreo eficiente y continuo de la calidad del agua en tiempo real.
La utilización conjunta de ambos equipos optimiza los procesos analíticos en laboratorios y en el terreno productivo, reduciendo las típicas incertezas en mediciones de proceso.
En resumen, los fotómetros Nanocolor Advance y PF-12 Plus representan herramientas complementarias que impulsan la modernización del análisis de aguas, promoviendo la sostenibilidad y la mejora continua en la gestión de los recursos hídricos.